2025年12月の統計情報は以下の通りです。
稼働率
システムMおよびPにおいて,全ノード(208:システムM,80:システムP)のうち,ジョブが投入されているノード数の割合(NodeM (running), NodeP (running))を表している。参考のために待ち状態のジョブが予約しているノード数の割合 (NodeM(waiting), NodeP(waiting))もプロットしている。
XD2000の保守点検をおこなっている時間帯は,稼働率が0付近まで低下している。

稼働率の過去の統計情報はこちらを参照してください。
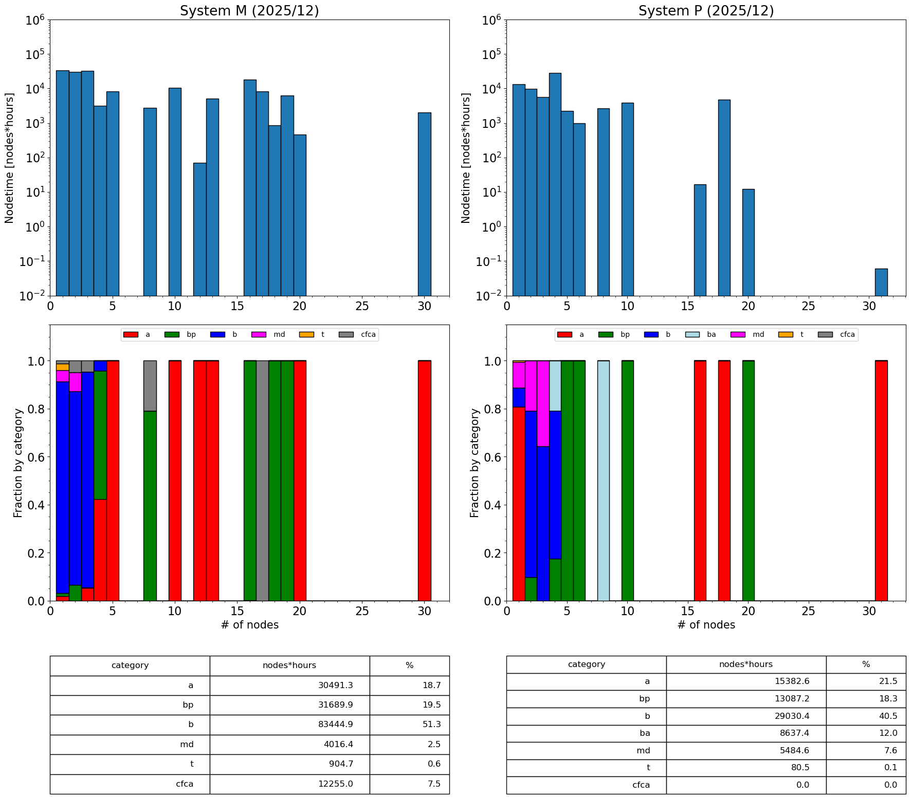
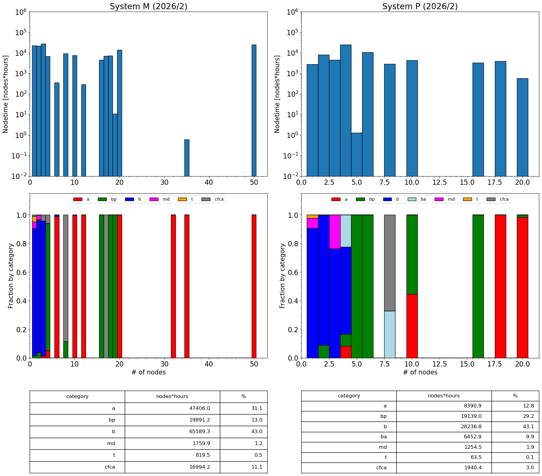
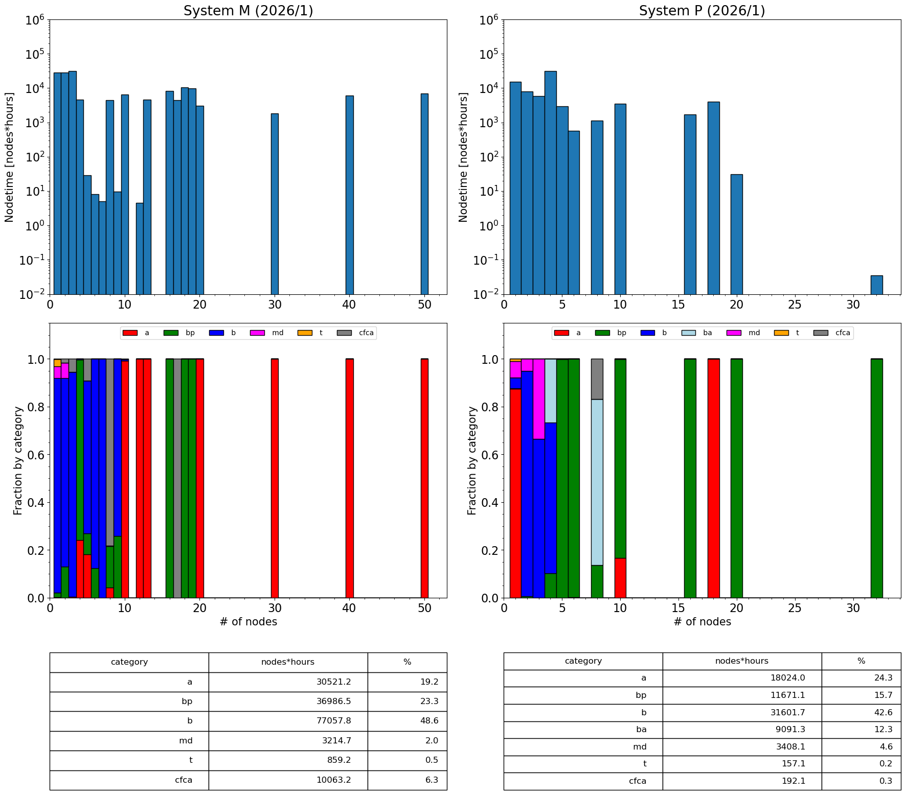
ノード時間積
システムMおよびPにおいて実行されたジョブのノード時間積を,ノード数の関数として示している。下図は,各ノード数ビンで実行されたノード時間積において,各カテゴリが占める割合を示している。表は,各カテゴリで実行されたジョブの総ノード時間積の全体に占める割合を示している。

ノード時間積の過去の統計情報はこちらを参照してください。
待ち時間
システムMおよびPにおいて実行されたジョブの待ち時間を,カテゴリ毎にノード数の関数として示している。各月の平均の待ち時間を実線で,待ち時間の範囲を淡青の領域で示している。
ただし,統計情報の算出に利用しているslurmコマンドが同時実行可能ジョブ数の制限を考慮しないため(実際のジョブ実行では考慮されている),一度に大量のジョブが投入されている場合,下図では待ち時間が非常に長く見えてしまうので注意(例えばカテゴリMの1ノードジョブなど)。ジョブが本当に実行可能な時間になってからの待ち時間は短い。

待ち時間の過去の統計情報はこちらを参照してください。